在人们的传统认知中,银河系是一个关于银盘面对称的系统。近年来随着观测水平的提高,天文学家发现银河系的恒星运动存在南-北不对称现象。近期,南京大学丁平婕博士、朱紫教授和刘佳成副教授等人利用Gaia DR2和LAMOST DR5数据,筛选出太阳附近具有高精度运动学资料的197,524颗 A、F、G、K型矮星样本,研究银盘面南北两侧恒星运动学的垂向分布及其与金属丰度的关系。
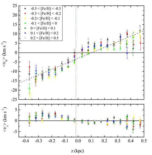
经研究分析,丁平婕等人发现这些矮星的径向运动存在明显的不对称现象,即南银盘的矮星朝向银心方向运动,北银盘的矮星则向着反银心方向运动,且运动速度都随着距银盘面高度的增加而增加(如图1所示)。同时,南银盘的矮星朝着银盘面运动,而北银盘的矮星没有明显的垂向运动。此外,样本垂向与径向速度弥散度的比值也存在南-北不对称现象。值得注意的是,样本表现出的运动学不对称性与金属丰度无关。
另一方面,作者还发现样本绕银心的旋转速度偏离经典的高斯分布,且偏离程度随金属丰度的降低而增大。整体上南银盘矮星的旋转速度略大于北银盘。近期,该研究结果已经在国际知名天文期刊《天文学报》(2019, AJ, 158, 247)上发表。

不同金属丰度矮星的径向速度和垂向速度随距离银盘面高度的变化
附件下载:
