多年以来,天文学家对于银河系或者星系的物理性质进行诠释时,通常都假设其处于平衡态或稳定引力势当中。随着各类大型巡天的开展,我们已经清楚地知道银河系的盘并非平滑对称或平坦分布的。银盘在外部呈现出“炸薯片”形态,被天文学家称之为翘曲结构,该结构分别在银经100 度左右和250度左右是非常显著的(也有学者认为在第一和第四象限)。研究人员目前对翘曲的结构描绘仍不清晰,其形成机制也比较复杂,大致被分为引力过程(如暗物质晕或矮星系作用)与非引力过程(如气体吸积或磁场作用)两种类型。如果是非引力过程引起的,那么体现出来的就是年轻星族的翘曲强度比年老星族的翘曲强度更大的特征。目前国际上尚未出现利用完备年龄采样的恒星样本对翘曲强度进行细致分析的研究工作,基本上是利用年龄的替代品或粗略切分两个星族,并且依赖于较多的假设。千万量级的LAMOST光谱数据拥有比较完整的恒星参数,如化学丰度、距离、年龄、视向速度,为研究该问题提供了绝佳资源。
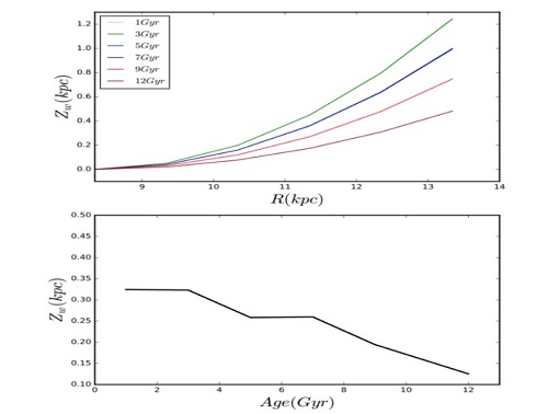
近日,云南大学博士后、LAMOST特聘青年研究员王海峰等人联合北大张华伟研究员、西班牙Martín López-Corredoira研究员领导的团队利用LAMOST和Gaia巡天数据从运动学角度出发,构建合理的似然函数,并基于一个不依赖于任何假设的简化模型,清楚探测到翘曲强度随星族年龄的增大不断减弱的特征、翘曲随星族非稳态长期演化的特征、翘曲节点角度随年龄的稳定分布性质及翘曲引起的最大偏离高度随年龄增大不断减弱的分布特征,基于以上分析,王海峰等人高置信度地揭示出翘曲结构起源于非引力过程。
该成果显著促进了人们对于翘曲起源的理解,并且指出近期Poggio等人在《自然·天文》所发表的文章中对于翘曲模型、方法讨论的不足之处。文章发表后,随即得到OGLE团队的祝贺,意大利团队(Eloisa Poggio 和 Ronald Drimmel)也期待能更进一步一起讨论翘曲起源,审稿人指出“该工作为我们认识银河系盘的翘曲及起源迈出了全新的一步”。
近年来,我们将相空间所呈现出的丰富的非对称震荡分布特征方面的研究统称为“星系震动学”。王海峰基于此前完成的工作提出这些复杂的非对称特性很可能是在一个统一的动力学分布函数约束下,由银河系的内部与外部动力学机制共同发挥作用导致的,且认为非对称性不一定耦合。同时,银河系盘的星族结构(如数密度结构)也远比我们想象的复杂。银盘的化学运动学结构、形态、形成历史、长期演化特征会被银河系中的星系动力学过程驱动或影响。在这样一个大背景下,王海峰等人基于各类巡天释放数据与理论模型提出了一个统一银河系盘结构与起源的计划:“Mapping the Milky Way Disk Population Structures and Galactoseismology (MWDPSG) ”,试图在将来给出一个描述银盘非对称特征与星族结构动力学分布函数的一般形式或框架,目前各种不同的观测现象或理论模型可能都是这一理论框架的一些特殊表现,而翘曲在该框架中扮演着至关重要的角色。但对翘曲的研究还只是该计划的一小步,未来王海峰及合作者会从数据参数的精度与准确度、样本统计分析、物理模型构建与创新等方面进行努力,从而逐步地实现获取完整银盘真实物理图景的理想。
该工作受到国家重点研发计划“基于LAMOST巡天的银河系研究”(2019YFA0405500-云大子课题)、西华师范大学天文系短期交访项目的支持。
文章链接:https://iopscience.iop.org/article/10.3847/1538-4357/ab93ad。

图一:ESO510-13星系的翘曲图,左右两端都有翘起的特征(图片取自网络)。

图二:银河系翘曲偏离高度或强度演化图,随着年龄的增加,强度清晰下降,支持翘曲起源于非引力过程的结论。
附件下载:
