国家天文台研究人员单素素、杨帆和刘继峰等人利用LAMOST光谱数据,结合帕洛玛测光时域巡天(PTF)的相关数据,首次创建并发布了涵盖光谱和掩食信息的双星星表。
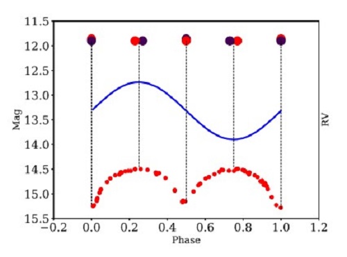
宇宙的恒星系统中,双星系统普遍存在。双星在确定恒星参数、理解恒星演化、测量恒星距离以及在追踪黑洞候选体等多方面扮演着重要角色。创建包含光谱信息的掩食双星星表具有很大的挑战性,因为多次观测,特别是光谱观测,需要占用望远镜非常多的观测时间。第一个大的光谱双星样本由CAMPBELL 和CURTIS(1905) 完成。该样本的第九次修订将光谱双星数量拓展到 2386 个。类太阳光谱恒星的测量项目(Abt 和Levy,1975; Raghavan等,2010) 使得光谱双星的个数增加了数百个。在所有双星观测中,具有光谱信息的掩食双星,能够最全面地限制双星的参数,光谱则可以给出可观测恒星较丰富的信息,而光变曲线能用来确定掩食系统的轨道参数,如图1 所示。然而已经证认的为数不多的光谱双星中,同时拥有掩食的测光光变曲线的个数非常稀少,因此拥有光谱信息的掩食双星星表相当稀缺。审稿人评论:”这是一项意义非凡的工作。” 首次创建这样的双星星表得益于LAMOST超强的光谱获取能力和大样本数据的优势。

图1:双星的掩食过程展示。最上的两个圆圈表示两个恒星成分。中间的曲线表示可观测恒星的径向速度曲线。下面的曲线是光谱、掩食双星系统LPSEB71的光变曲线。所示的RV曲线对应于用深色圆圈标记的恒星。
该双星星表包含88 对短周期光谱掩食双星,其中13个是新发现的双星系统。星表中的每一个源都有高质量的光变曲线、轨道参数以及可观测主星的恒星参数。本星表的双星周期分布,在 0.22 天显示了明显的截断。这个结果验证了绕转周期双星的稀少性。该工作为进一步研究双星的演化模式奠定了基础,短周期的双星系统是非常宝贵的极端物理现象的天然实验室。研究星队下一步的工作重点将利用LAMOST和PTF升级后的ZTF项目的海量巡天数据,搜寻极短周期的光谱掩食双星,进一步探索低质量双星的演化模式。

图2:双星(LPSEB59)的Lomb-Scargle周期谱分布(左图)和按照最佳周期折叠的光变曲线(右图)。左图中的黑色实线为周期显著度置信线。右图的黑点表示测光光变曲线,红点表示LAMOST测得的视向速度按照星历推算的相位分布。
文章链接:https://iopscience.iop.org/article/10.3847/1538-4365/ab9b77。
附件下载:
