近日,南京大学陈迪昌博士、杨佳祎博士、谢基伟教授、周济林教授与北京大学东苏勃研究员、国家天文台刘超研究员、罗阿理研究员、向茂盛博士、北京师范大学张敬华博士,宗伟凯博士、云南大学黄样副教授、王海峰博士以及美国犹他大学郑政教授合作利用LAMOST和Gaia等星表数据对银河系中的系外行星进行了普查,开展了名为“系外行星的空间分布和年龄演化”课题的系列研究(Planets Across Space and Time,英文简称为PAST,中文简称为“穿越”)。目前,该课题研究已完成了两个前期基础工作(“穿越-1”和“穿越-2”),分别发表在国际知名期刊《天体物理学报》(Chen et al.2021,ApJ,909,115)和《天文学报》(Chen et al.2021,AJ,162,100)。
长期以来,科学家一直都在致力于探索地球以外的行星世界,行星作为宇宙中普遍存在的天体对于人类有着不同寻常的意义,它们是生命和文明的摇篮,承载着人类对揭开生命起源和寻求地外生命的希望,行星的探测及其形成演化的研究成为当今科学的一大热点。随着观测技术的进步,至今已有4000多颗系外行星和数千颗行星候选体陆续被发现,分布范围也从太阳领域扩展到了银河系中更广泛的范围(数个kpc,如图1所示)。银河系中不同位置/组分、不同年龄的系外行星系统分别存在怎样的差异是行星科学中的基础问题之一。该问题的答案将有助于理解不同星系环境中系外行星的形成与演化,并为探索系外行星的多样性提供了关键的线索。因此,研究团队开展了“系外行星的空间分布和年龄演化”(PAST)课题的一系列相关研究。
已发现的系外行星在银河系中的分布
研究上述问题的基础是测定系外行星宿主恒星的银河系组分和年龄。但是大部分恒星宿主尚没有精确的年龄测量,而且之前划分银河系组分的运动学方法的适用范围小(太阳附近约100pc处)。因此在该系列研究的第一篇文章(“穿越-1”)中,研究团队修正了测定恒星银河系组分和年龄的运动学方法,将适用范围扩大到了太阳附近约1500pc处,同时运动学年龄的精度也从30%-60%提高到10%-20%。
基于修正后的运动学方法,利用LAMOST,Gaia和Kepler等数据,研究团队计算得到了2174颗系外行星宿主恒星和35,864颗Kepler恒星的运动学性质(位置、速度、银河系组分、运动学年龄等,如图2),同时也归纳了它们的物理学参数(如有效温度、金属丰度等),构建了恒星的运动学星表。
LAMOST-Gaia-Kepler恒星样本的Toomre运动图
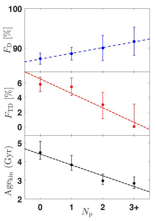
基于这些星表,在系列研究的第二篇文章(“穿越-2”)中,研究团队发现随着行星个数的增加,薄盘星的比例增加,而厚盘星的比例减少,运动速度降低,运动学年龄减小(图3)。也就是说,行星系统(尤其是多行星系统)更倾向于出现在年轻的薄盘恒星周围,这为进一步认识行星系统的形成和演化以及与银河系形成历史之间的关系提供了新的线索。
薄盘比例,厚盘比例和运动学年龄随行星数目的变化趋势
“穿越-1”和“穿越-2”成果中修正的方法和构建的星表,为今后在银河系背景下的系外行星研究奠定了基础。基于此,更多“穿越”系列的后续工作正在逐步开展。
文章链接:
“穿越-1”:https://iopscience.iop.org/article/10.3847/1538-4357/abd5be。
“穿越-2”:https://iopscience.iop.org/article/10.3847/1538-3881/ac0f08。
附件下载:
