太阳耀斑根据是否伴随日冕物质抛射(CME)分为爆发耀斑和束缚耀斑两类:爆发耀斑伴随CME的发生,是引起太阳风暴和空间灾害性天气的直接驱动源;束缚耀斑不会伴随CME的发生,但对其束缚机制的研究帮助我们理解耀斑和CME的关系。什么因素决定耀斑的爆发属性呢?尽管近年来对耀斑束缚因素的研究取得了重要进展,但人们仍不清楚哪些活动区参量决定耀斑的爆发属性。另外,Kepler空间望远镜在类太阳恒星上发现了很多“超级耀斑”,这些“超级耀斑”伴随恒星CME的几率如何?
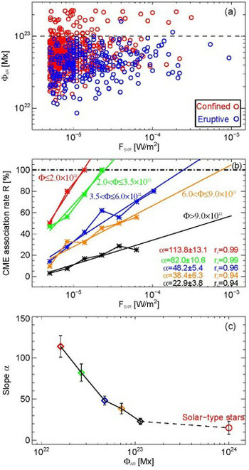
近日,国家天文台项目研究员李婷及其合作者考察了太阳动力学天文台(SDO)观测的2010-2019年发生的719个C5.0级以上耀斑,首次研究了耀斑-CME的相关率随耀斑强度和产生耀斑的活动区磁特性的函数关系,即活动区的无符号总磁通量。统计结果发现耀斑-CME相关率vs.耀斑强度的斜率随活动区磁通量的增加而单调递减 (图1)。这意味着对于相同强度的耀斑,来自大磁通量活动区的耀斑更可能是束缚耀斑。假定G型恒星的活动区磁通量为1024 Mx,推测X100级的超级耀斑的CME相关率最高为50%。对于132个M2.0级以上耀斑的子样本库,同时计算了强梯度的极性反转线长度、磁自由能和强剪切的面积三个活动区非势性参量,发现束缚耀斑的非势性参量的值高于爆发耀斑,每个非势性参量与活动区的磁通量表现出正相关的关系。研究结果表明活动区的总磁通量反映了耀斑上方背景磁场束缚的强弱,是描述耀斑爆发属性的决定性参量。
该结果不仅对预报CME和灾害性空间天气具有重要的意义,而且帮助评估G型恒星上CME发生的频率,目前恒星CME的探测数量稀少,研究结果为此提供了一种可能的解释。该工作近期发表在天文学期刊《天体物理学快报》(The Astrophysical Journal Letters)上。 另外,该成果同时被AAS nova、HMI Science Nuggets和RHESSI Science Nuggets选为研究亮点进行专题报道。
论文链接:https://iopscience.iop.org/article/10.3847/2041-8213/ac1a15。
AAS Nova Highlights链接:
https://aasnova.org/2021/09/03/exploring-eruptions-from-the-sun/。
HMI Science Nuggets链接:
http://hmi.stanford.edu/hminuggets/?p=3624。
RHESSI Science Nuggets链接: https://sprg.ssl.berkeley.edu/~tohban/wiki/index.php/Confined_or_Eruptive%3F。
(a)活动区磁通量vs.耀斑强度的散点图,蓝色(红色)圆圈代表爆发(束缚)耀斑。(b)耀斑-CME相关率在5个活动区磁通量区间随耀斑强度的变化。(c) 相关率的斜率vs.活动区磁通量的曲线。
附件下载:
