近日,中国科学院国家天文台刘超研究员在英国《皇家天文学月刊》上发表了他的最新工作,指出我们今天看到的双星系统已经不是其原生状态,而在它们诞生之初就经历了高效的动力学加工(dynamical processing)。
一般而言,天文学家普遍认为场星中处于主序阶段的双星只有非常小的机会会发生双星演化,例如发生质量交换、双星系统被瓦解等现象。绝大多数场星中的主序阶段双星保留了它们诞生以来的双星统计特征,如双星存在比例、两颗成员星的质量比等。这个假设一直以来都是双星研究的重要基石,因为只有这个假设存在天文学家才可以从今天这些成年双星的统计性质反向推测影响双星诞生的各种物理机制。然而早在2011年,就有理论家提出假设,双星和所有恒星一样诞生于星团之中,在几百万年时间内,绝大多数星团迅速瓦解,这些年轻的恒星就变成星场中的一个个孤立成员。就在这短短的几百万年时间内,双星可能由于星团的密集环境而频繁与其它恒星发生交会,双星束缚能较低的就很容易遭到动力学瓦解而形成两颗单星。这一理论假说提出后一直没有得到观测的证实。
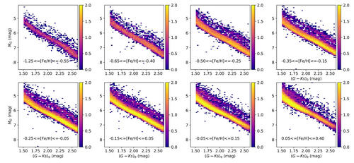
这项最新研究采用LAMOST巡天光谱数据结合Gaia天体测量信息,在赫罗图上对双星系统的性质开展统计分析。在主序阶段,双星系统因为有两颗恒星所以会比同样颜色的单星要亮一些。如果两颗成员星的质量完全一样,那它们的亮度就会比一颗星的亮一倍。利用这个特点,刘超发展了一个层次化贝叶斯统计模型,通过一组特定场星在赫罗图上的分布估计双星的比例和双星质量比的分布。借助50000多颗具有LAMOST金属丰度和质量测量的晚型主序星,他对不同金属丰度、不同主星质量恒星的双星比和质量比分布进行统计分析。惊讶地发现双星比和质量比分布存在非常强的关联。主星质量较大、金属丰度较高的星族双星比很高,双星间距较大,其双星的质量比分布较平;而主星质量较小、金属丰度较高的星族双星比很低,双星间距较小,同时其双星质量比分布曲线陡峭,也就是说存在两颗成员星质量接近的情况较多。
经过对这一奇异现象进行深入分析,他发现恒星形成之初、还存在于年轻星团阶段就经历了非常有效的动力学加工。不断地同相邻恒星的交会将那些引力束缚能较低的双星系统(主星质量偏小、两颗恒星间距较大、两颗成员星质量差距大)破坏掉,因而造成今天的样子:即主星质量较小的星族双星比例较低、恒星间距较小、质量比接近1的双星系统较多。反之对于主星质量较大的星族,由于引力束缚能较高(主星质量大),较少受到动力学的加工作用。
这一复杂现象的解释一方面终于证实了理论家的预言,即年轻星团中的动力学加工效率非常高,只要几百万年就可以将双星系统破坏得面目全非;另一方面也告诉后来的研究者今天看到的场星中的双星统计性质已经不再反映它们原初的样子,而是经过动力学“加工”了的。当然这就给天文学家探索恒星形成的物理机制带来了相当大的挑战。审稿人在评价这项工作时指出“据我所知,它展示了一项重要的科学工作,可以极大地促进对双星演化的理解”。著名的恒星星族研究专家Pavel Kroupa认为“这是一项重大而令人印象深刻的工作”。

此图展示了不同金属丰度的小质量主序恒星的赫罗图,下面一条序列是单星组成的,上面一条恒星数目较少的序列是双星组成的。
附件下载:
