近期,国家天文台章博博士、刘超研究员和邓李才研究员等利用基于支持向量回归方法构建了恒星参数机器(Stellar Label Machine, SLAM),并利用SLAM精确计算了LAMOST DR5低分辨率光谱中约100万红巨星的恒星参数。
精确获取恒星参数信息为加深人们理解银河系以及河外星系的形成与演化、元素增丰历史等奠定了重要基础。随着LAMOST等各种大型光谱巡天项目的开展,截止目前天文学家已经获取了上千万条恒星光谱,因此精确计算海量恒星光谱的参数成为天文学家一个非常重要和关键的任务。
2015年,Ness等人提出了数据驱动的The Cannon算法来计算恒星参数,这种方法的优势是可以容易地在不同光谱巡天之间相互定标恒星参数。章博等人发现该方法存在一定的局限性:只能对很窄的参数范围内的恒星进行建模(例如有效温度从5500K-3800K),而无法扩展到更宽范围。
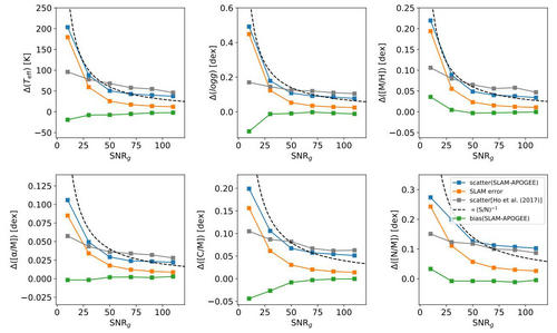
因此章博等人提出利用支持向量回归(一种非参数化回归模型)来改进这种数据驱动的恒星参数计算方法,构建了SLAM方法。经测试,SLAM方法在宽参数范围内展示出优越的性能,使得光谱巡天的相互定标不再受到参数范围的限制。章博等人挑选了APOGEE DR15和LAMOST DR5低分辨率光谱的共同观测源(主要是红巨星),以这些源的LAMOST光谱和APOGEE提供的恒星参数作为训练集,利用SLAM计算了LAMOST DR5低分辨率光谱中约100万红巨星恒星参数,包括有效温度、表面重力、整体金属丰度、alpha元素丰度、碳元素丰度和氮元素丰度。
在高信噪比(SNRg > 100)时,SLAM计算出的恒星有效温度、表面重力、整体金属丰度、alpha元素丰度、碳元素丰度和氮元素丰度的精度分别达到49 K、0.10 dex、0.037 dex、0.026 dex、0.058 dex 和 0.106 dex。这体现了SLAM方法相较于The Cannon算法的巨大优势。SLAM方法为开展银河系的科学研究提供了非常有力的工具。

蓝色和灰色分别表示了SLAM和The Cannon的各个参数的计算精度随信噪比变化的关系
附件下载:
