暗物质的存在是诸如星系、宇宙大尺度结构、宇宙早期演化等天文观测的必然要求,但暗物质是什么、质量是多少、和普通的物质的关系等一直是相关研究的前沿问题,其中通过宇宙线来搜寻暗物质是探测暗物质的一种主要方法。近些年,发现几十GeV以上的宇宙线正电子超出天体物理背景的实验结果,被认为是可能发现了暗物质的证据。正电子的超出预示的暗物质的质量在几百GeV到TeV以上。阿尔法磁谱仪-02 (AMS-02)实验的宇宙线反质子数据发布以来,不少研究文章认为在10GeV以下宇宙线反质子也存在超出,其来源于暗物质湮灭或衰变。AMS-02实验是由诺贝尔物理学奖获得者丁肇中领导的寻找宇宙中反物质的实验。该实验高精度的测量了宇宙线正电子、反质子以及大量宇宙线核成分,把宇宙线实验带入了精确测量时代。反质子的超出似乎已经想当然,然而面临所预言的暗物质质量和正电子超出所预言的并不一致的局面,还需要深入研究。
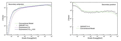
近日,国家天文台研究人员金洪波和中国科学院理论物理研究所研究人员吴岳良、周宇峰联合发现,不存在反质子在GeV能量区域的超出。之前文章提出的超出,主要是在计算宇宙线反质子的背景时所用的基本粒子的强相互作用模型带来的。这就意味着不存在几十GeV量级的暗物质,不存在与正电子的预言不一致的情况。如图1所示,该文章使用的与实验符合度较高的QGSJET-II-04模型在产生正电子的计算结果与传统模型大部分能区是一致的,而反质子则与传统模型不一致的,这说明了之前反质子在低能超出有问题的所在。左图中蓝色的曲线是被选择产生反质子的最佳的模型,低能区域明显高于传统模型产生反质子的数量。

图1:在QGSJET-II-04模型中,产生反质子和正电子的z因子大小与传统模型的比较
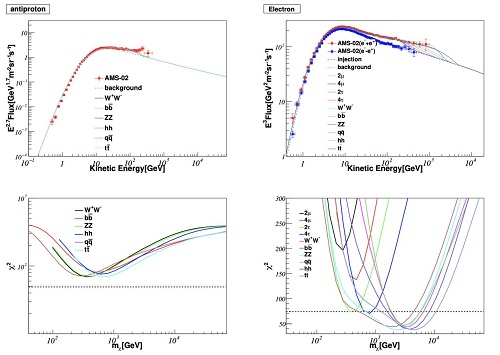
该文章基于上述模型,通过对AMS-02实验的有关反质子等的能谱分析,研究了暗物质可能的质量分布。通过图2可以看到尽管考虑了暗物质湮灭的各种途径产生反质子的过程,暗物质的质量分布,均在排除线以上不被接受。通过相应的反质子能谱图,也可以看到低能区域没有超出背景的迹象。相反对宇宙线总电子的能谱分析来看,由于存在正电子的超出,明显看到在宇宙线总电子流量能谱上,在TeV附近有明显的超出背景。显然相应暗物质质量分布存在多个末态粒子湮灭通道低于排除线,而被接受,预言的暗物质的质量范围分布在几百GeV到TeV以上。因此,这样的分析结果也更加印证了通过探测TeV以上宇宙线来搜寻暗物质的相关实验的可行性。

图2:不同质量的暗物质湮灭到多个末态产生反质子与正负电子的x2分布(下图)及相关宇宙线能谱(上图)
文章地址:https://iopscience.iop.org/article/10.3847/1538-4357/abb01a。
附件下载:
