近日, 中国科学院南美天文研究中心、国家天文台中智天文联合研究中心王灵芝博士带领国际合作团队,基于多个国际一流设备的多波段时域数据,详细研究了一颗近邻Ia型超新星SN2017cbv,获得了单个超新星的最完备光变曲线模板和光谱模板,为后续超新星的研究提供了重要参照和依据。目前超新星观测主要在光学波段开展,长时标红外监测数据尤其是极早期的数据非常珍贵。本工作首次发布了超新星长达140天的光学红外8波段测光数据和14条红外光谱,为超新星研究提供了最完备的光变曲线模板和光谱模板。国际著名超新星专家Nicholas B.Suntzeff评价道:该工作获得的光变曲线将会作为Ia型超新星的最好例子在今后该领域的国际会议上被一再展示。
超新星SN2017cbv是爆发于近邻星系NGC5643里的一颗Ia型超新星,因其距离近而很亮,容易获得其完善的数据,是一个非常热门的天体。Ia型超新星可能是白矮星吸积其伴星物质达到临界质量后产生的剧烈热核爆炸,其爆炸产生的峰值光度一般认为是常数,是一类极为重要的天体距离指示器。天文学家利用超新星测量的距离,发现了宇宙加速膨胀,然而它的前身星和具体爆炸机制仍然是未解之谜。
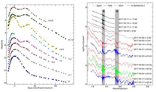
极早期观测揭示SN2017cbv存在亮度超,暗示其前身星很可能是单简并系统,为破解超新星前身星和爆炸机制提供了绝佳研究对象。得益于南美天文中心享有智利望远镜观测时间的优势,王灵芝博士及合作者及时获得了大量的观测数据(见附图),包括SN2017cbv在BVRIYJHKs共8个波段、长达140天(光极大之前16天到光极大之后125天)的观测数据,以及来自于6.5米Magellan/FIRE光谱仪、8.2米的Gemini South/FLAMINGOS-2光谱仪、3.6米NTT/SOFI光谱仪以及3.0米NASA IRTF/SpeX光谱仪的14条高质量红外光谱数据,这其中包括了极为罕见的Ia型超新星的最早红外光谱观测 (光极大之前18天)。
王灵芝等人利用多波段的高质量光变曲线、颜色曲线,通过与超新星光极大时及之后的内秉亮度和颜色对比,估计了宿主星系光学波段的消光及该超新星的光度距离。同时,研究人员利用红外波段消光较小的优势,首次绘制了光学-红外的颜色星等图,发现此图可以非常直观准确的测定光学波段的消光。研究还发现爆发晚期的数据并不能很准确的估算消光,这对利用晚期光变数据估算消光提出了质疑。
此外,研究人员对此超新星的质量、爆发机制和从伴星吹出的物质进行了限制。王灵芝等人运用两种独立的方法,分别估算了爆炸中产生的放射性Ni元素的质量,并得出了一致的结果。研究人员还比较了SN2017cbv的光变数据和两类主流的爆炸模型: Mch 延迟爆轰模型,sub-Mch 双爆轰模型,发现除了极早期的亮度超出外,SN2017cbv的观测数据与Mch延迟爆轰模型较为一致。最后,基于14条红外光谱,研究人员在光极大时刻附近探测到了碳原子谱线,然而并未探测到Pβ谱线,因此认为从伴星吹出的氢质量上限约为0.1倍太阳质量。
相关论文已发表于国际著名天文杂志《天体物理学报》ApJ,详见: https://ui.adsabs.harvard.edu/abs/2020ApJ...904...14W/abstract。

左: SN2017cbv的BVRIYJHKs光变曲线,右:红外光谱演化图
附件下载:
