近期,国家天文台孔啸博士、罗阿理研究员基于LAMOST光谱数据在Gaia数据的白矮星侯选体样本中证认出6190颗白矮星,其中1920颗是首次发现的,并包含了64颗激变变星。并对证认出的白矮星样本进行了细致分类和大气参数测量。该工作体现了LAMOST大样本光谱数据集在证认测光巡天中大量特殊天体的独特优势。该数据集大大丰富了已有的白矮星样本,这为深入研究白矮星的形成和演化机制以及追溯恒星内部特征和形成演化等前沿课题提供了更加完备的资源。该成果发表在著名天文期刊《美国天文学会研究简报》(Research Notes of the American Astronomical Society,5,249)上。
图 1 白矮星示意图(图源: Caltech / IPAC )
白矮星是一种非常特殊的天体,它体积小、亮度低,但质量大、密度极高。是小质量恒星演化的最终产物。根据观测数据和理论计算,天文学家认为银河系中97%的恒星最终都会演变成光度极暗的白矮星。
Fusillo等人在Gaia EDR3的巡天数据集中,通过测光及视差等参数利用机器学习算法给出了约140万颗白矮星候选体。孔啸等人将LAMOST DR7数据集与Gaia EDR3数据中的白矮星候选体进行交叉,并利用机器学习的方法,辅助光谱特征的识别,最终高置信度地证认出6190颗白矮星样本,经过对所有白矮星进行十几种细致的子型分类和大气参数测量,形成了具有多种重要参数的LAMOST-Gaia白矮星数据库。为天文学家进一步研究白矮星的性质及恒星演化奠定了基础。
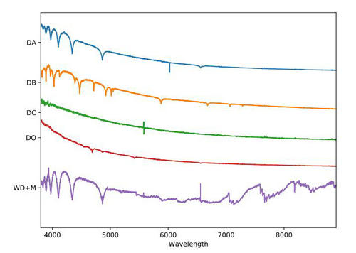
图 2 LAMOST数据中五种典型的白矮星光谱
随着LAMOST海量光谱数据的不断积累,将有会越来越多的白矮星被光谱证认与测量。作为恒星演化的代表性产物,具有丰富参数信息的白矮星完备大样本为研究恒星形成和演化机制以及确定银盘、星团以及银晕的年龄等问题提供了重要的数据资源。Fusillo等人在Gaia EDR3的巡天数据集中,通过测光及视差等参数利用机器学习算法给出了约140万颗白矮星候选体。孔啸等人将LAMOST DR7数据集与Gaia EDR3数据中的白矮星候选体进行交叉,并利用机器学习的方法,辅助光谱特征的识别,最终高置信度地证认出6190颗白矮星样本,经过对所有白矮星进行十几种细致的子型分类和大气参数测量,形成了具有多种重要参数的LAMOST-Gaia白矮星数据库。为天文学家进一步研究白矮星的性质及恒星演化奠定了基础。
论文链接:https://iopscience.iop.org/article/10.3847/2515-5172/ac3417。
附件下载:
