近日,由中国科学院国家天文台和中国科学技术大学等组成的联合研究团队,依托国际大型合作暗能量光谱巡天项目(DESI),在类星体周围多相气体演化研究中取得重要突破。此次研究首次系统性地揭示了从星系尺度到宇宙大尺度结构中多相气体的空间分布特征及金属增丰的历史,相关成果已在线发表于《The Astrophysical Journal Letters》。
星系(包括类星体)周围的重子物质分布以及其演变一直是理解星系形成与演化的关键课题。从理论角度来看,金属元素通过恒星活动引发的物质外流、星风以及活动星系核的反馈等作用,被输送到星系周围的多相气体环境中,进而在宇宙时标上逐渐积累。然而,这一过程至今尚缺乏直接的观测证据。
研究团队通过叠加类星体光谱,利用不同元素的特征吸收线强度信息,成功重建了类星体周围气体的空间分布。这一方法犹如利用“宇宙光针”进行星系际介质的演化追踪。研究结果显示类星体周围金属离子的吸收强度随红移的增加呈现出系统性减弱趋势,符合W∝(1+z)-4的演化规律。值得一提的是,不同离子的演化特征存在显著差异,彰显出星系周围气体复杂的多相结构。

图1:不同元素的等值宽度随红移的演化趋势
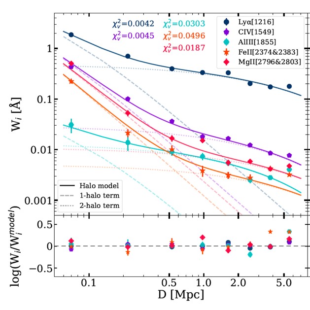
研究还创新性地采用“两晕模型”来描述气体分布:内晕反映类星体自身引力束缚范围内的气体,外晕则对应更大尺度的宇宙气体聚集。结果显示,高电离金属(如CIV)展现出比低电离元素(如MgII)更为延展的空间分布,这为理解星系中金属元素的产生与输运机制提供了重要的观测证据。

图2:不同元素的等值宽度随径向距离的变化,符合两晕模型的轮廓描述。
这项研究不仅深化了对星系际介质的认识,也为未来利用DESI数据在星系物质重子循环和多相气体介质研究方面开辟了新路径。论文第一作者为中国科学技术大学的陈泽宇,通讯作者包括中国科学技术大学的王恩赐教授和国家天文台的邹虎研究员。
论文链接:https://iopscience.iop.org/article/10.3847/2041-8213/ade545
附件下载:
